最长上升子序列
【题目描述】
给定N个数,求这N个数的最长上升子序列的长度。
【样例输入】
7
2 5 3 4 1 7 6
【样例输出】
4
第一种解法:时间复杂度O(n^2),
状态设计:DP[ i ]代表以A[ i ]结尾的LIS的长度
状态转移:DP[ i ]=max{ DP[ j ]+1 ,DP[ i ] }(1<=j< i,A[j]< A[i])。
基本上思想,每次碰到一个数,就从头遍历,看插在哪个后面的值最大就保留那一个。
1 |
|
第二种解法:时间复杂度O(nlogn),优化在查询的时候。我们新建一个dp数组,dp[i]表示长度为 i 的LIS结尾元素的最小值。对于一个上升子序列,显然其结尾元素越小,越有利于在后面接其他的元素,也就越可能变得更长。因此,我们只需要维护dp数组,对于每一个a[i],如果a[i] > dp[当前最长的LIS长度],就把a[i]接到当前最长的LIS后面,即dp[++当前最长的LIS长度]=a[i]。 否则,就用a[i]取更新dp数组。具体方法是,在dp数组中找到第一个大于等于a[i]的元素dp[j],用a[i]去更新dp[j]。如果从头到尾扫一遍dp数组的话,时间复杂度仍是O(n^2)。我们注意到dp数组内部一定是单调不降的,所有我们可以二分dp数组,找出第一个大于等于a[i]的元素。二分一次dp数组的时间复杂度的O(logn),所以总的时间复杂度是O(nlogn)。
1 |
|
最长公共子序列
问题描述
给定两个字符串,求解这两个字符串的最长公共子序列(Longest Common Sequence)。比如字符串1:BDCABA;字符串2:ABCBDAB
则这两个字符串的最长公共子序列长度为4,最长公共子序列是:BCBA
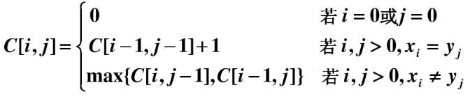
解法:c[i,j]表示:(x1,x2….xi) 和 (y1,y2…yj) 的最长公共子序列的长度。

1 |
|
最长公共子串
比如字符串1:cnblogs;字符串2:belong
则这两个字符串的最长公共子串长度为2,最长公共子串是:lo。
解法:c[i,j] 表示:(x1,x2….xi) 和 (y1,y2…yj) 的最长公共子串的长度。

1 |
|
01背包
有N件物品和一个容量为V的背包。第i件物品的价格(即体积,下同)是w[i],价值是c[i]。求解将哪些物品装入背包可使这些物品的费用总和不超过背包容量,且价值总和最大。
这是最基础的背包问题,总的来说就是:选还是不选,这是个问题<( ̄ˇ ̄)/
相当于用f[i][j]表示前i个背包装入容量为v的背包中所可以获得的最大价值。
对于一个物品,只有两种情况
情况一: 第 i 件不放进去,这时所得价值为:f[i-1][v]
情况二: 第 i 件放进去,这时所得价值为:f[i-1][v-c[i]]+w[i]
状态转移方程为:f[i][v] = max(f[i-1][v], f[i-1][v-w[i]]+c[i])。
可以优化到一维:
1 | for (int i = 1; i <= n; i++) |
1 |
|
完全背包
有N 种物品和一个容量为V 的背包,每种物品都有无限件可用。第i ii种物品的费用是w[i] ,价值是v[i] 。求解将哪些物品装入背包可使这些物品的费用总和不超过背包容量,且价值总和最大。
完全背包和01背包十分相像, 区别就是完全背包物品有无限件。由之前的选或者不选转变成了选或者不选,选几件。
和01背包一样,我们可以写出状态转移方程:f[i][v]=max(f[i-1][v-k*c[i]]+k*w[i]|0<=k*c[i]<=v),
1 |
|
编辑距离
编辑距离的定义是:从字符串A到字符串B,中间需要的最少操作权重。这里的操作权重一般是:
1.删除一个字符(deletion)
2.插入一个字符(insertion)
3.替换一个字符(substitution)
解法:dp[i][j] 表示从 word1 的前i个字符转换到 word2 的前j个字符所需要的步骤。当word1[i] == word2[j]时,dp[i][j] = dp[i - 1][j - 1],其他情况时,dp[i][j]是其左,左上,上的三个值中的最小值加1,其实这里的左,上,和左上,分别对应的增加,删除,修改操作,转移方程如下:

1 | class Solution { |
两个字符串的最小ASCII删除和
从字符串A到字符串B,每次删除一个字符,求最少ASCII操作权重。
解法思想和上面的差不多,但是问题是要加上那个ASCII 的值,保证这个值最小。
1 | class Solution { |